相关文章
基于ARDC的双闭环PID控制器simulink建模与仿真
目录
1.课题概述
2.系统仿真结果
3.核心程序
4.系统原理简介
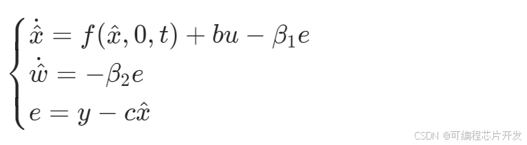
5.完整工程文件 1.课题概述 基于ARDC(Adaptive Robust Dynamic Compensation,自适应鲁棒动态补偿)的双闭环PID 控制器,是在传统PID控制器基础上,针对复…
编程日记
2025/11/1 21:34:34
Python蓝桥杯真题代码
以下是一些不同届蓝桥杯Python真题代码示例: 第十四届青少年蓝桥杯python组省赛真题 删除字符串后缀 input_str input("请输入一个字符串:")
suffixes (er, ly, ing)
for suffix in suffixes: if input_str.endswith(suffix): input_str …
编程日记
2025/10/24 5:27:51
上位机知识篇---ARM 汇编语言与寄存器深度讨论
文章目录 前言前言
本文简单介绍了ARM的汇编语言与寄存器的深度讨论. 一、ARM 汇编语言的核心特性与应用深度剖析 (一)指令集架构的独特优势 ARM 架构采用精简指令集计算机(RISC)设计理念,其指令集具有简洁高效的特点。相较于复杂指令集计算机(CISC),ARM 指令长度…
编程日记
2025/10/31 19:47:08
neo4j基础操作:命令行增删改查
目录
一,Neo4j的增
1.1.新增节点
1.2.新增关系
1.2.1创建节点时,创建关系
1.2.2在已有的节点上,创建关系
二,Neo4j的删除
2.1删除节点 2.1.1无关系的节点删除
2.1.2 有关系的节点删除
三,节点修改
3.1 给节点…
编程日记
2025/11/3 16:23:31
初学Vue之记事本案例
初学Vue之记事本案例 案例功能需求相关Vue知识案例实现1.实现方法及代码2.演示 案例收获与总结 案例功能需求
基于Vue实现记事功能(不通过原生JS实现)
1.点击保存按钮将文本框的内容显示在特定位置,且清空文本框内容 2.点击清空按钮&#x…
编程日记
2025/11/6 1:17:24
【Machine Learning Q and AI 读书笔记】- 02 自监督学习
Machine Learning Q and AI 中文译名 大模型技术30讲,主要总结了大模型相关的技术要点,结合学术和工程化,对LLM从业者来说,是一份非常好的学习实践技术地图.
本文是Machine Learning Q and AI 读书笔记的第2篇,对应原…
编程日记
2025/10/26 17:10:13
EXCEL中跨行匹配两组数据
EXCEL中跨行匹配两组数据
适用场景:检查A列&B列的组合是否存在于C列&D列中(无需同行)
公式:
IF(COUNTIFS(C:C, A1, D:D, B1)>0, “存在”, “不存在”)
编程日记
2025/11/9 0:24:36
提示词版本化管理:AI开发中被忽视的关键环节
当我的提示词"消失"在团队协作中
上周五下午,我经历了一场小型"灾难"。作为一名AI产品经理,我花了整整三天精心打磨的客服机器人提示词,在周末更新后突然"失效"了。机器人不再能够准确识别用户意图࿰…
编程日记
2025/11/8 4:41:51

